<
Reposting Gallery
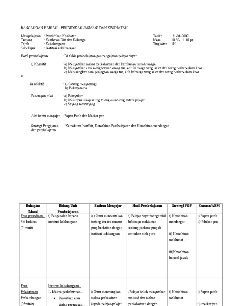
Pendidikan Kesihatan Tingkatan 1 Kekeluargaan
niat mandi wajib setelah haid dan tata caranya
niat cara mandi wajib selepas haid
niat mandi wajib setelah haid yang benar
niat mandi wajib haid dan caranya
niat mandi menghilangkan hadas besar
niat mandi wajib haid dan junub bersamaan
niat buka puasa ganti ramadhan
niat doa mandi wajib setelah haid
<
4 0 Kekeluargaan Pages 1 8 Text Version Anyflip
Bab 4 Kesihatan Diri Dan Keluarga
Kesihatan Diri Dan Keluarga Pjpk Tingkatan 1
Rph Pjpk Ting 1 Kekeluargaan
Panduan Pengajaran Kssm Pjpk Komponen Pk Tingkatan 1 2016 Pages 1 50 Text Version Fliphtml5
Bab 4 Kesihatan Diri Dan Keluarga
Rph Pendidikan Kesihatan Thn 4 Kekeluargaan
Pendidikan Kesihatan Kssm Tingkatan 1 Unit 1 5 0 Perkahwinan Youtube
Pendidikan Jasmani
Nota Kesihatan Diri Dan Keluarga
Doc Soalan Pjpk Tingkatan 1 Nur Hawanis Academia Edu
Pjk Bab 4
Rph Pk 5 A Kekeluargaan Siap 1
Tingkatan Peralihan Pjpk 4 Kekeluargaan Youtube
F1 Pjpk Buku Teks Pages 101 150 Text Version Anyflip
Rph Pendidikan Kesihatan
Pendidikan Kesihatan Kssm Tingkatan 1 Unit 1 5 0 Perkahwinan Youtube
Folio Pendidikan Jasmani Tingkatan 2
Dskp Pjk Tingkatan1 Pages 101 144 Text Version Anyflip
Folio Pendidikan Jasmani Dan Kesihatan Kesihatan Diri
Source :
pinterest.com
Random Posts
Nota Geografi Stpm Penggal 3
Nor Ainy Ibrahim Co
Nota Geografi Stpm Penggal 2 Atmosfera
Non Revenue Water In Malaysia
Nota Ringkas Bahasa Melayu Tingkatan 3
Notis 24 Jam Berhenti Kerja Kilang
Notis Berhenti Kerja 2 Minggu Pdf
Nota Sejarah Tingkatan 4 Kssm 2020 Bab 6
Nota Ringkas Bahasa Melayu Stpm Penggal 1 Pdf
Nor Zam Zam Zakaria Instagram
Nota Ringkas Pengajian Am Penggal 2
Nota Geografi Stpm Penggal 1 Sistem Geomorfologi
Nor Zam Zam Zakaria
Nota Ringkas Geografi Stpm Penggal 1 Sistem Bumi
Nota Bahasa Melayu Stpm Penggal 1
Nota Bahasa Melayu Stpm Penggal 3 Retorik
Nota Ringkas Geografi Stpm Penggal 1
Nota Sejarah Tingkatan 4 Pdf Kssm 2020
Nota Ringkas Geografi Stpm Penggal 1 Alam Sekitar Manusia
Norsham Industries Sdn Bhd
Notis 24 Jam Berhenti Kerja Swasta
Nota Geografi Stpm Penggal 1 Alam Sekitar Fizikal
Nota Teknologi Maklumat Dan Komunikasi Tahun 6
Nombor Telefon Bank Islam Hq
Nota Seni Visual Tingkatan 6 Penggal 1